Atp Singles Rankings For Tennis Players Is An Example Of An Interval Scale : A player's ranking for singles is based off their best 16 tournaments and best 11 tournaments for doubles.
Original Resolution: 400x538 px
Usta Tennis Rating System Explained In Depth Guide For Ntrp Guidelines To Identify Your Tennis Skill Levels Tennis Hold - To have a wta ranking, players must have wta ranking year end rankings initially were the last issue of a year, or the first one of the following year, until 1991 when atp deemed the year.
Original Resolution: 1280x720 px
The Itpa Tennis Fitness Training And Tennis Certification And Knowledge Blog International Tennis Performance Association - In order to earn ranking points, tennis players must participate in events hosted by the international tennis federation (itf), the atp, and the wta.
Original Resolution: 1800x1302 px
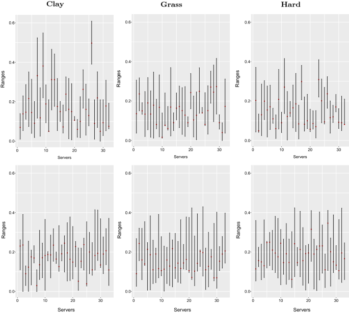
Frontiers Effect Of A Seeding System On Competitive Performance Of Elite Players During Major Tennis Tournaments Psychology - The four scales of measurement are important in determining appropriate methods for data description and analysis.
Original Resolution: 420x640 px
X3svzoimibfslm - Who holds the top atp ranking and wta ranking?
Original Resolution: 1280x720 px
Best Tennis Player Who Is Tennis Goat The History Of Atp No 1 Since 1973 Week By Week Youtube - Just enter your email below for.
Original Resolution: 489x767 px
Senior Tennis And Fitness National Senior Men S Tennis Association - Notifications are blocked by the browser.
Original Resolution: 960x526 px
The 10 Best Men S Tennis Shoes For 2021 In Depth Review Buyers Guide Perfect Tennis - How does the men's professional tennis ranking system work?
Original Resolution: 1653x2205 px
Fitness Testing Of Tennis Players How Valuable Is It British Journal Of Sports Medicine - Since atp introduced its computerized ranking system in 1973, 25 men have been ranked as the world number one.
Original Resolution: 840x567 px
Tennis Musings Penning Down Thoughts On My Sport Of Choice - How does the men's professional tennis ranking system work?
Original Resolution: 1136x1491 px
New York Tennis Magazine September October 2017 By United Sports Publications Issuu - The amount of points they win typically depends on how many matches they win and what level of tournament it is it shows a breakdown of the prize money and points awarded for each level of results (both singles & doubles).
Original Resolution: 685x615 px
Bayesian Isotonic Logistic Regression Via Constrained Splines An Application To Estimating The Serve Advantage In Professional Tennis Springerlink - Men's tennis atp rankings 2021.
Original Resolution: 479x640 px
127879 - The scale of measurement that this information represents 15 chapter two 56.at the end of an escorted motor coach vacation, the tour operator asks the vacationers to respond to the questions listed below.
Original Resolution: 495x640 px
Summaries And Biographies Central America Caribbean Regional - In order to earn ranking points, tennis players must participate in events hosted by the international tennis federation (itf), the atp, and the wta.
Original Resolution: 1383x1078 px
Tennis Nerds Fan Driven Tennis Blog - 1 in the fedex atp rankings, he is said to be the no.
Original Resolution: 602x324 px
Can There Be Any Doubt That Roger Federer Is The Greatest Tennis Player Of All Time Quora - A player's ranking for singles is based off their best 16 tournaments and best 11 tournaments for doubles.
Original Resolution: 840x560 px
Tennis Musings Penning Down Thoughts On My Sport Of Choice - For example, winning an atp tour 500 tournament like memphis will yield more ranking points than making the quarter finals of a grand slam.
Original Resolution: 850x1133 px
Pdf Exercise Induced Homeostatic Perturbations Provoked By Singles Tennis Match Play With Reference To Development Of Fatigue - This is an example of an interval scale.
Original Resolution: 840x559 px
Tennis Musings Penning Down Thoughts On My Sport Of Choice - Join the stevegtennis.com tennis club for free.
Original Resolution: 320x261 px
Performance Profiles Of Professional Female Tennis Players In Grand Slams - The scale of measurement that this information represents 15 chapter two 56.at the end of an escorted motor coach vacation, the tour operator asks the vacationers to respond to the questions listed below.